All content on this site is intended for healthcare professionals only. By acknowledging this message and accessing the information on this website you are confirming that you are a healthcare professional. If you are a patient or carer, please visit Know ALL.
The ALL Hub website uses a third-party service provided by Google that dynamically translates web content. Translations are machine generated, so may not be an exact or complete translation, and the ALL Hub cannot guarantee the accuracy of translated content. The ALL Hub and its employees will not be liable for any direct, indirect, or consequential damages (even if foreseeable) resulting from use of the Google Translate feature. For further support with Google Translate, visit Google Translate Help.
The ALL Hub is an independent medical education platform, sponsored by Amgen, Autolus, Jazz Pharmaceuticals, and Pfizer and supported through an educational grant from the Hippocrate Conference Institute, an association of the Servier Group. Funders are allowed no direct influence on our content. The levels of sponsorship listed are reflective of the amount of funding given. View funders.
Now you can support HCPs in making informed decisions for their patients
Your contribution helps us continuously deliver expertly curated content to HCPs worldwide. You will also have the opportunity to make a content suggestion for consideration and receive updates on the impact contributions are making to our content.
Find out more
Create an account and access these new features:
Bookmark content to read later
Select your specific areas of interest
View ALL content recommended for you
Acute lymphoblastic leukemia (ALL) is the most common cancer in childhood with marked heterogeneity of somatic genomic phenotypes. The ALL Hub has previously reported on novel subtypes of ALL in the context of early treatment response as measured by minimal residual disease-directed (MRD) therapy. Although contemporary chemotherapy for childhood ALL is tailored based on clinical features, leukemia somatic genomic aberrations, and MRD; the inter-patient variability in MRD and relationships between somatic genomics and drug resistance phenotypes are poorly understood.1
Here, we summarize a recent publication in Nat Med by Lee et al.1 evaluating the relationship between molecular subtypes and treatment response in children with newly diagnosed ALL.1
This study included 805 children and adolescents with ALL from St. Jude Children’s Research Hospital, treated on 3 consecutive ALL total therapy protocols: TOTXV (NCT00137111), TOTXVI (NCT00549848), and TOTXVII (NCT03117751).
The key objectives were to perform ex-vivo pharmacotyping of contemporary chemotherapeutic drugs for primary ALL cells, comprehensively characterize drug response profiles across molecular subtypes in childhood ALL, evaluate the association of drug sensitivities with MRD, and explore the pharmacotyping-based subgrouping of ALL and its impact on survival outcomes.
The baseline patient characteristics are shown in Table 1.
Table 1. Baseline patient characteristics*
|
Characteristic, % (unless otherwise stated) |
N = 805 |
|---|---|
|
ETP, early T-cell precursor; NCI, National Cancer Institute; WBC, while blood cell. |
|
|
Sex |
|
|
Male |
54.7 |
|
Female |
45.3 |
|
Age group (years) |
|
|
<1 |
6.7 |
|
1 to <10 |
74.9 |
|
≥10 |
24.2 |
|
NCI criteria |
|
|
Standard risk |
57.8 |
|
High risk |
42.2 |
|
WBC count at diagnosis (×109/L) |
|
|
<50 |
74.0 |
|
≥50 |
26.0 |
|
Population and ancestry |
|
|
European |
66.0 |
|
African |
12.9 |
|
Admixed American |
12.2 |
|
Other |
8.1 |
|
Unknown |
0.9 |
|
Subtype |
|
|
ETV6-RUNX1 |
23.6 |
|
Hyperdiploid |
22.1 |
|
T-cell ALL (non-ETP) |
14.0 |
|
B Other |
7.3 |
|
PAX5alt |
4.5 |
|
DUX4 |
4.2 |
|
KMT2A |
4.0 |
|
TCF3-PBX1 |
3.7 |
|
BCR-ABL1 |
2.6 |
|
CRLF2 (BCR-ABL1-like) |
2.6 |
|
ETP |
2.0 |
|
ETV6-RUNX1-like |
1.7 |
|
BCR-ABL1-like (excluding CRLF2) |
1.6 |
|
iAMP21 |
1.1 |
|
MEF2D |
1.1 |
|
Near haploid |
1.0 |
|
ZNF384 |
1.0 |
|
NUTM1 |
0.6 |
|
PAX5 P80R |
0.4 |
|
Low hypodiploid |
0.2 |
|
TCF3-HLF |
0.2 |
|
BCL2/MYC |
0.1 |
|
IKZF1 N159Y |
0.1 |
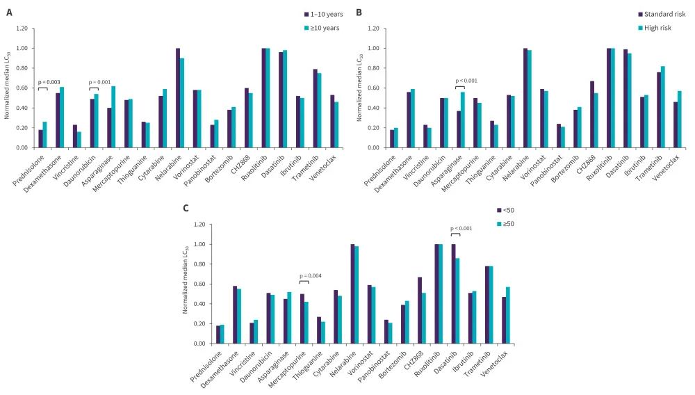
Figure 1. LC50 of each drug across A age, B NCI risk group, and C WBC at diagnosis (×109/L)*

LC50, 50% lethal concentration; NCI, National Cancer institute; WBC, white blood cell.
*Adapted from Lee, et al.1
Except for panobinostat, ruxolitinib, bortezomib, and daunorubicin, all drugs exhibited nominally significant inter-subtype variability (p < 0.05).
A high subtype-dependent pattern of sensitivities to targeted agents was observed.
Figure 2. Correlation of A B-ALL and B T-ALL drug sensitivities with MRD during induction therapy*

ALL, acute lymphoblastic leukemia; LC50, 50% lethal concentration; MRD, minimal residual disease.
*Adapted from Lee, et al.1
†p < 0.001.
‡p = 0.009.
§p = 0.028.
ǁp = 0.034.
¶p = 0.039.
#p = 0.025.
Supervised hierarchical clustering analysis revealed six clusters of ALL cases with unique patterns of drug response and genetic phenotypes (Figure 3).
Figure 3. Distinct ALL patient clusters*

ALL, acute lymphoblastic leukemia; ETP, early T-cell precursor.
*Adapted from Lee, et al.1
Event-free survival differed significantly across clusters (p = 0.037) and the drug sensitivity cluster remained prognostic after adjusting for Day 42 MRD. Cluster III and IV showed the best survival outcomes in keeping with rapid MRD clearance (Figure 4).
A prognostic analysis of dasatinib sensitivity in T-ALL revealed that dasatinib sensitivity (LC50 < 0.25) was associated with a lower event-free survival (p = 0.026).
Figure 4. Five-year event-free survival across A drug sensitivity clusters (n = 549) and B dasatinib sensitivity groups in T-cell ALL (n = 97)*

ALL, acute lymphoblastic leukemia; LC50, 50% lethal concentration.
*Adapted from Lee, et al.1
This study revealed remarkable heterogeneity in ALL drug response, with favorable ALL subtypes exhibiting the greatest sensitivity to L-asparaginase and glucocorticoids. The six identified molecular subtype clusters were strongly associated with event-free survival, even after adjusting for MRD, highlighting their prognostic utility in ALL risk-stratification. Pharmacotyping identified a T-cell ALL subset with poor prognosis that was sensitive to targeted agents, implying alternative therapeutic strategies. Taken together, these results could inform more precise treatment strategies to further improve outcomes in children with ALL.
References
Please indicate your level of agreement with the following statements:
The content was clear and easy to understand
The content addressed the learning objectives
The content was relevant to my practice
I will change my clinical practice as a result of this content